MotoPrintProject(β)
お問い合わせ
メニュー
ホーム
プロジェクトの紹介
小学校プリント
中学校プリント
高校プリント
数学が苦手(評定1~3)な中学生のための都立高校入試攻略問題集
都立高校入試「数学」はこうやって攻略する!
徹底演習問題
都立入試大問1 問1~問6(30点分)予想問題 第1回
都立入試大問1 問1~問6(30点分)予想問題 第2回
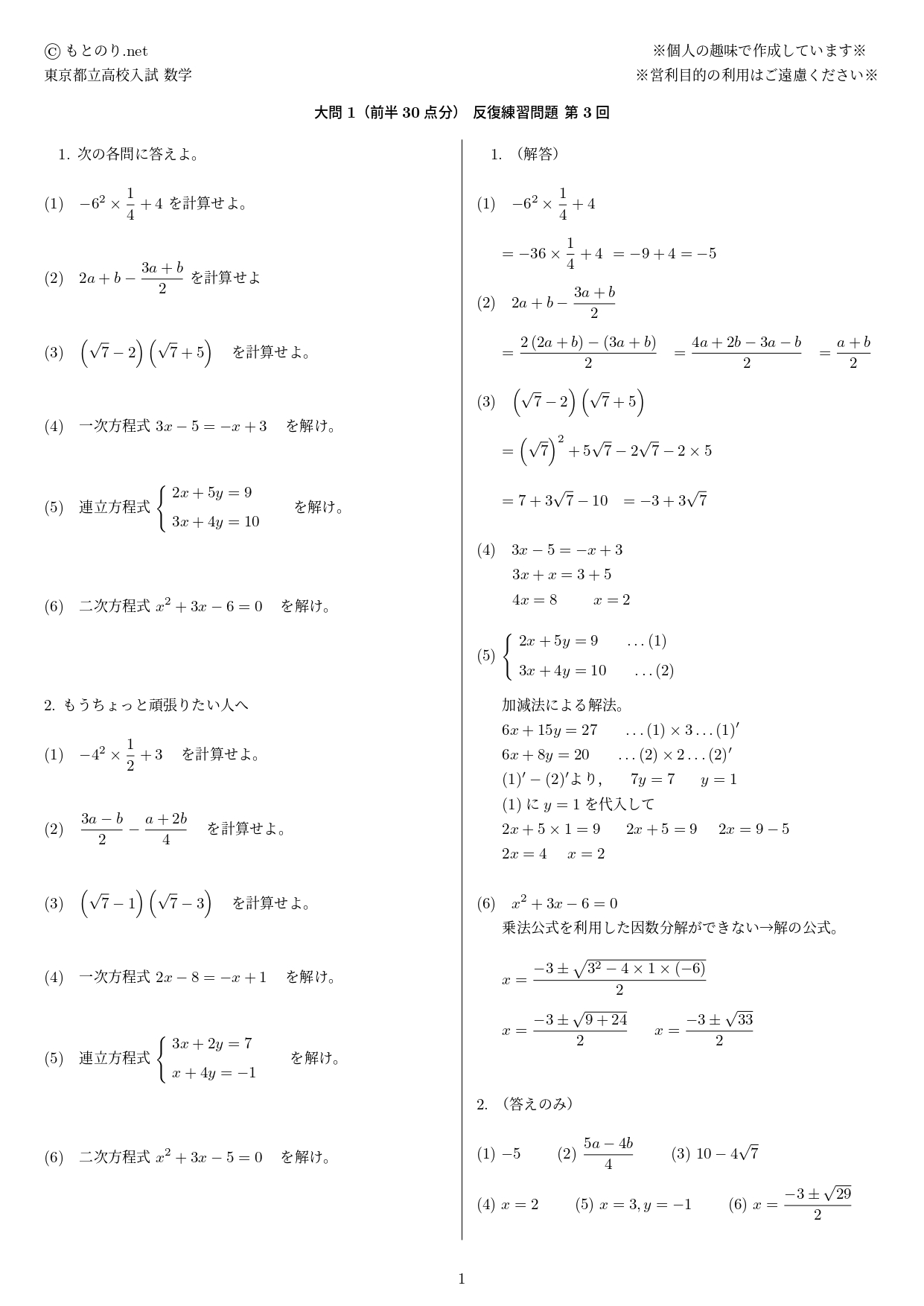
都立入試大問1 問1~問6(30点分)予想問題 第3回
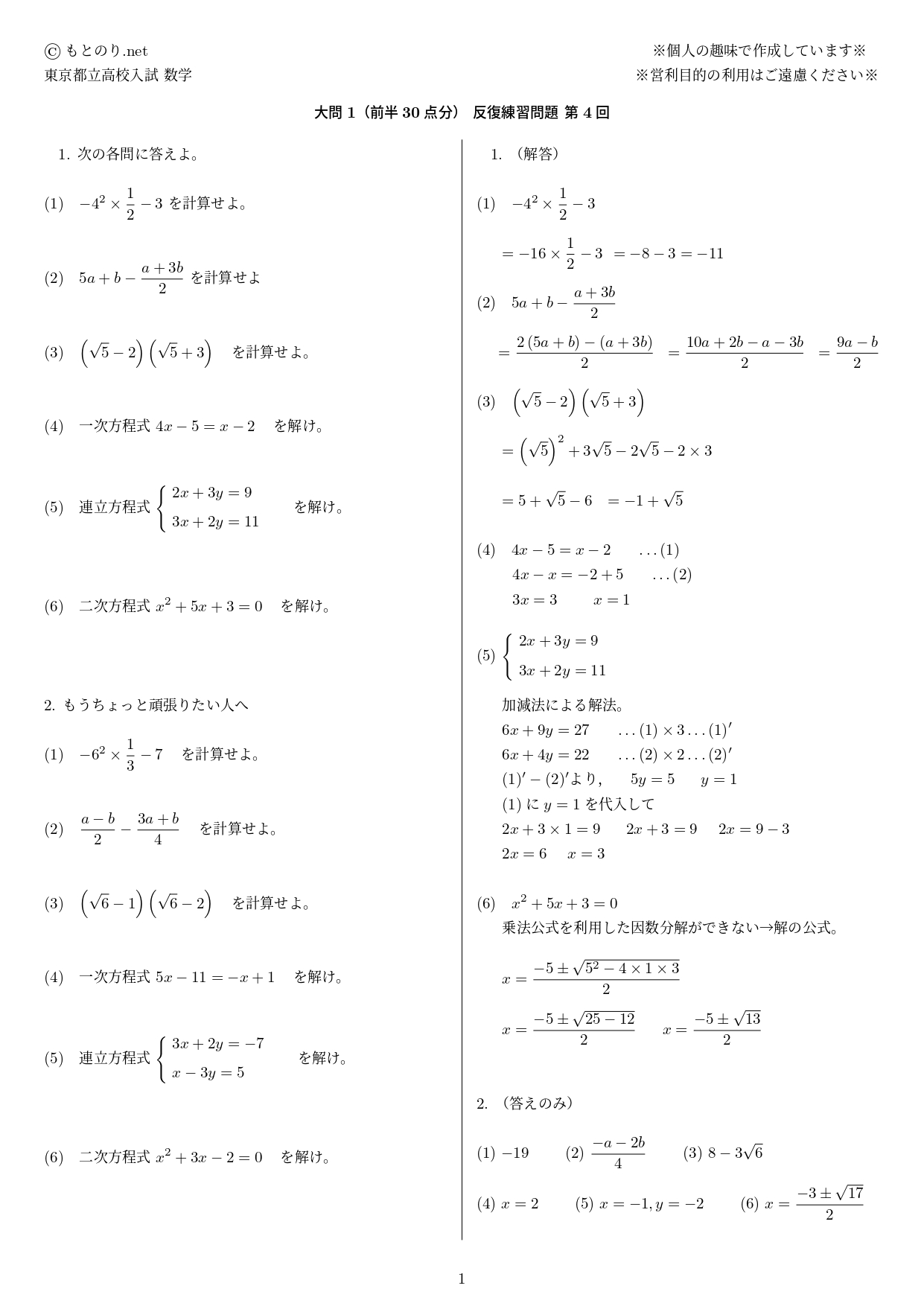
都立入試大問1 問1~問6(30点分)予想問題 第4回
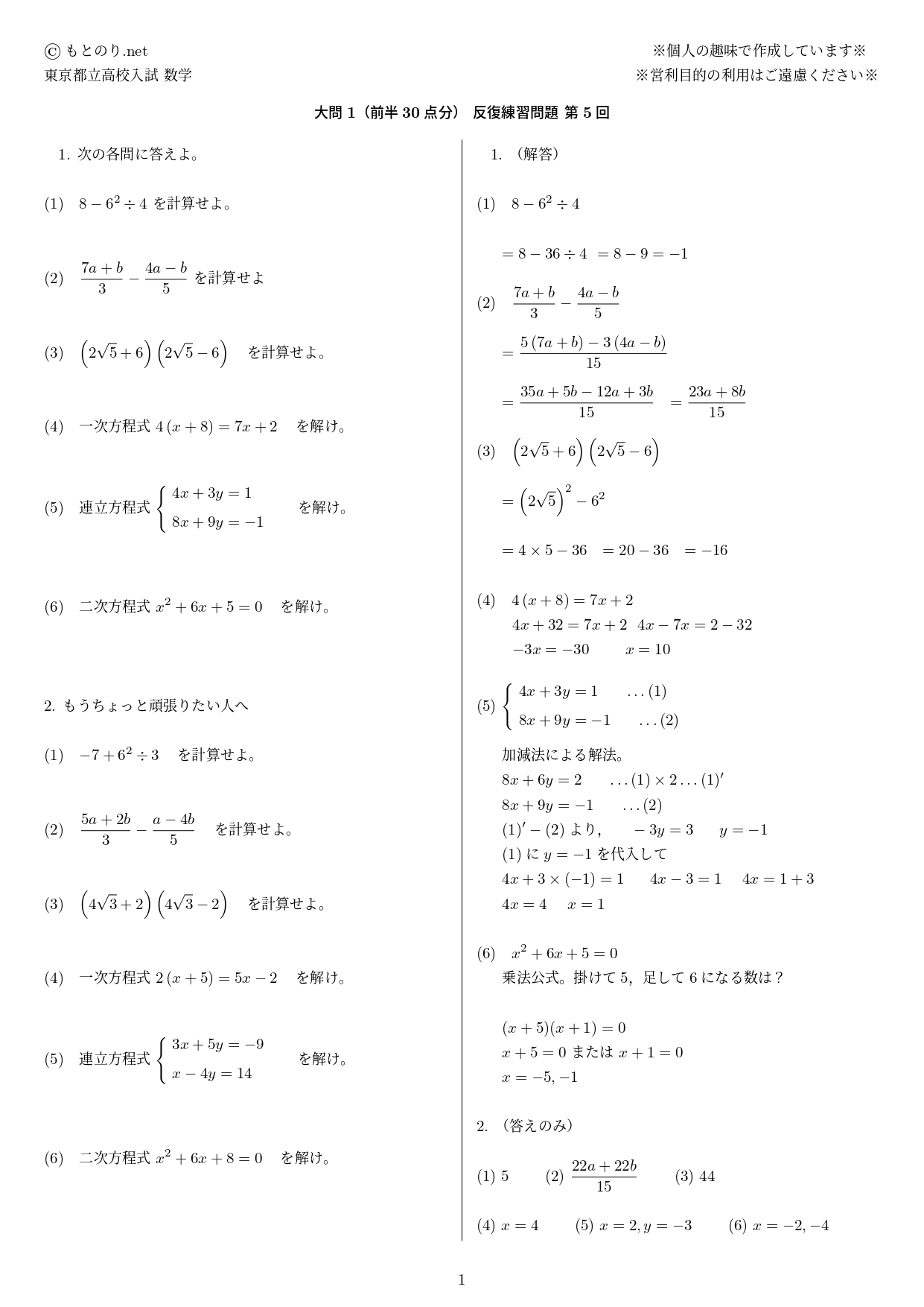
都立入試大問1 問1~問6(30点分)予想問題 第5回